首页 / 培训赋能中心 / 预算标准解读 / 《数字化项目综合绩效评价指标体系》(DB3303/T061-2023)标准解读
《数字化项目综合绩效评价指标体系》(DB3303/T061-2023)标准解读
更新时间:2025-09-12 09:19:44

《数字化项目综合绩效评价指标体系》(DB3303/T061-2023)是温州市发布的地方标准,于2023年1月16日发布、2月16日实施,由温州市大数据发展管理局提出并归口,联合温州大学、温州市财政局等多部门共同起草。该标准为温州市域内数字化项目的综合绩效评价提供了统一框架,旨在规范评价流程、明确评价维度,推动数字化项目高质量建设与应用。同时,我们此前发布的文章中,对其他的信息化项目相关绩效规范及温州市的费用标准进行了解读,可结合本文一并查看:

【国标-绩效评估】《信息化项目综合绩效评估规范》(GBT42584-2023)解读

《政务信息化项目建设运行绩效评价规范》(DB3301/T 0373—2022)标准解读

《保险业信息化绩效评价指标体系规范》(JR/T 0305-2025)解读

【温州】《政务信息化项目软件开发费用测算规范》(DB 3303/T 059—2023)-省市费用标准解读系列23

一、适用范围与分类标准

本标准的适用范围广泛,覆盖温州市域内所有应用的数字化项目,涵盖政府、企业等各类主体建设的数字化系统及基础设施。

项目分类有两种方式:

按性质划分,可分为多跨协同类、一般业务类和基础设施类。其中,多跨协同类是指具备跨层级、跨地域、跨系统等“多跨”功能的重大应用及子应用;一般业务类仅用于优化部门内部业务管理;基础设施类则包括信息基础设施、安全保障设施、数据资源平台等。

按应用侧划分,可分为治理类和服务类,治理类供部门工作人员使用,服务类为社会公众提供服务。


二、评价指标体系框架

标准构建了“6+29+60”的三级指标体系,即6个一级指标、29个二级指标、60个三级指标,全面覆盖项目全生命周期的核心要素:

图片

图片


三、评分方法与权重设置

在对温州市域内各类数字化项目进行综合绩效评价时,评分方法与权重设置是确保评价结果科学、公正的关键要素。


(一)评分逻辑

为全面且精准地衡量项目绩效,每个三级指标都配备了明确的计算公式或者详细的评分规则,兼顾定量与定性评价。定量评价基于客观数据,能直观反映项目在可量化维度上的表现;定性评价则依靠专业判断与材料审核,评估难以通过数据直接体现的方面,两者相辅相成。考虑到文章篇幅限制,此处仅选取过程管理中的核心指标作为示例进行说明,更详尽的内容(包括全部指标的细化规则与实操要求)可参照原标准文件。


过程管理示例:

过程管理指标主要评价数字化项目从立项到建设实施的合规性、合理性与规范性,包含7个二级指标,核心关注“项目是否按规划有序推进”。


1.立项依据

评价项目立项的必要性与重要性,核心维度包括:是否落实上级党委政府决策部署、是否解决全市社会重大需求、是否回应群众和企业痛点、是否防范重大风险、是否符合部门核心业务数字化要求。

计分规则:符合部门核心业务数字化要求得60分(否则0分),其他维度符合得100分(否则0分),最终取各项得分的最值。立项依据指标分值计算公式如下:

图片

图片


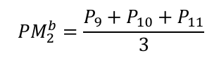
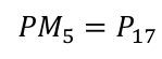
2.建设方案

评价项目规划的科学性,包含“需求内容合理性”和“架构设计合理性”两个三级指标。

需求内容合理性:关注项目需求(业务、功能、数据、安全等)、多跨场景需求(部门协同、系统互联互通等)、改革需求(体制调整、流程再造等)的分析深度,根据材料完备性按百分制打分,取三项平均值。需求内容合理性指标分值计算公式如下:

图片

图片

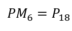
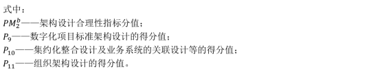
架构设计合理性:关注是否符合数字化标准架构、业务与系统集约化整合设计、组织架构(人员配备计划)的合理性,根据材料完备性按百分制打分,取三项平均值。架构设计合理性指标分值计算公式如下:

图片

图片


3.采购管理

评价项目采购过程的一致性,核心看“建设内容、招投标内容、合同签订内容”是否一致,根据材料规范性按百分制直接计分。采购管理指标分值计算公式如下:

图片

图片


4.质量管理

评价项目是否符合技术规范、变更规范和文档规范,核心维度包括:是否在IRS上注册发布(注册并发布100分、仅注册50分、未注册0分)、是否纳入全生命周期管理系统(是100分、否0分)、变更是否规范(是100分、否0分)、文档是否齐全规范(0-100分)。最终取四项得分的平均值。质量管理指标分值计算公式如下:


图片

图片


5.资金管理

评价资金支付的合理性,根据合同款支付进度与合同要求的匹配度计分:完全符合100分、有偏差但满足支付条件50分、不符合0分。资金管理指标分值计算公式如下:


图片


图片


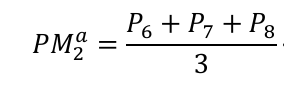
6.进度管理

评价建设进度与计划的一致性,按工期偏差比例计分:偏差≤15%得100分、15%<偏差≤30%得50分、偏差>30%得0分。进度管理指标分值计算公式如下:


图片


图片

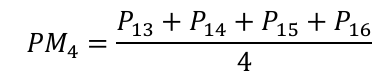
7.制度保障

评价项目建设及运维过程中制度的完善性与执行度(如建设管理、运维保障制度),根据制度完整性和执行效果按百分制打分,取“制度建设”与“制度执行”得分的平均值。制度保障指标分值计算公式如下:


图片

图片

图片


(二)权重差异

考虑到不同类型数字化项目的目标、特点及重点各异,其评价指标权重也有所不同,旨在突出各类项目的关键绩效领域。具体权重设置详情见附录A:

图片

图片


图片

图片

图片

《数字化项目综合绩效评价指标体系》(DB3303/T061-2023)以全生命周期管理为核心,融合“合规性、安全性、实效性、创新性”四大维度,构建了适配温州数字化发展需求的评价体系。该标准的实施将进一步规范数字化项目管理,提升项目质量与效益,为温州建设“数字政府”“数字社会”提供重要支撑。

微信联系
添加微信咨询
TOP
软件造价喵
立即登录
AI询价喵
立即登录